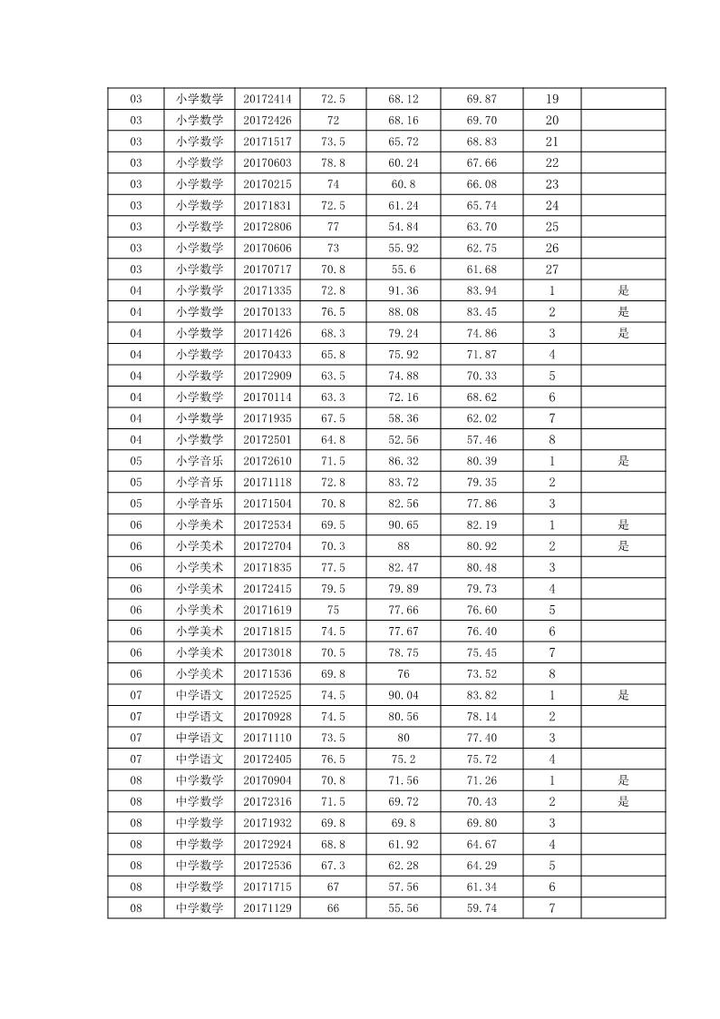
根据《南通市港闸区教育系统及部分市直幼儿园2017年公开招聘教师公告》有关规定,现将考试总成绩及进入体检人员名单予以公布(见附件)。体检由港闸区人力资源和社会保障局、港闸区教育局组织实施,有关体检事宜公告如下:
一、体检时间:2017年6月6日(周二)。考生集合时间、地点:6月6日上午8:00,港闸区少年宫。
二、体检标准:参照《江苏省教师资格认定体检标准》。
三、体检注意事项:详见《体检注意事项》。参加体检的考生须携带本人身份证、准考证、近期二寸免冠照片1张、体检费用由医院按实收取(现金)。对体重、视力、血压有疑义的应当场提出复测,事后不再安排。
特别提醒:考生必须在规定的时间到达指定地点,逾期作自动放弃处理。
特此公告。



南通市港闸区人力资源和社会保障局
南通市港闸区教育局
2017年6月1日











